以下为实际完成的案例,涵盖光学检测、激光与光束表征、光谱分析(拉曼 / 近红外 / 傅里叶显微)、薄膜在线检测与辐照度计量等,点击跳转。

光谱仪、激光器、控制器三合一全内置,插电接电脑即可使用。共聚焦光路,分辨率 4~12 cm⁻¹, 动态范围 85000:1,IP56 防护,支持龙门架、便携工具箱等多种部署形态, 可按需扩展 XYZ 扫描、共聚焦荧光及量子点成像,支持 OEM 贴牌定制供应。

专为日立 UH4150 分光光度计设计制作的精密角度旋转支架,安装后不影响设备原有光学分辨率参数,为用户提供高精度的角度分辨透射率和反射率测量能力。

双光束积分球绝对测量方案,980nm光源,精度≤0.5%,0°~180°连续可变角, 配备2000万像素显微定位与偏振分析模块,用于光学薄膜、晶体、玻璃等样品的透射率与反射率精密检测。

全自动显微近红外光谱平台,工作波段 900~2500nm,光谱分辨率 10nm(FWHM), 支持全自动运行、定时/定次数采集及输入输出触发信号,用于显微环境下的反射、透射、吸收测量。

FTIR 显微扩展模块,全反射式结构天然消色差,精密光路设计, 同型号光谱仪、相同测试方法和目标:美国显微模块仅 ±0.05 count,我们的显微扩展模块达 ±1.1 count,信号提升 22 倍。

全自动完成连续激光重点参数测试:光路自动对准、功率自动衰减检测、P/S 偏振分光比、 光斑质量、M² 因子、中心波长及半峰宽(FWHM),适配 1mW~10kW / 400~1100nm。

双通道原位在线膜厚检测,250~1100nm 宽波段,1.11nm 分辨率,背照式光谱仪(动态范围 >16000:1), 内置膜厚软件,适用于真空炉、产线等场景,桌面/便携仪器箱两用,可选积分球测试。

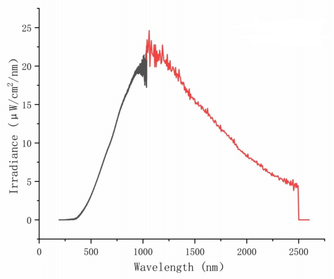
光谱辐照度定量检测平台,220~2500nm 超宽波段,双光谱仪架构(UV-Vis 1nm / NIR 10.8nm), 100mm 积分球可打开放置 LED 灯珠,亦可外部导入光源,适用于辐照度、发光效率、色温等参数定量分析。

金刚石对顶砧(DAC)原位显微拉曼/荧光与红宝石 R1 标压;工作范围 0 GPa~400 GPa,其中高压端需配置斜面砧座等腔体方案。532 nm 激发,电控 XYZ、Z 轴自动对焦 与 XY Mapping。应用领域含矿物、能源材料、药物多晶型等,详见独立介绍页。

钙钛矿薄膜 / 单晶 PL 品质快速检测平台,405nm + 520nm 双激发切换, -40°C 制冷光纤光谱仪记录 750~810nm 发射谱,单次测量同时输出 PL 峰位 / FWHM / 积分强度三参数, 用于工艺优化、组分调控(MA/FA/Cs 与 I/Br/Cl)、稳定性老化跟踪与叠层电池子电池筛选;可加装积分球升级 PLQY 绝对测量。
联系我们获取专业的光学解决方案